来源:考试1002020-12-04 16:55:38阅读数:2006
一级造价工程师《建设工程计价》涉及到的考点有很多,比较难集中。因此,小编对这些考前辅导的知识点进行了整理。今天为大家提供的是2020年一级造价工程师《工程计价》考前辅导:建设期利息,希望给各位考生带来帮助。

建设期利息
建设期内发生的为工程项目筹措资金的融资费用及债务资金利息。

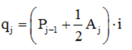
当总贷款分年均衡发放,当年借款在年中支用考虑,即当年贷款只计半年利息,而以前年度的本利和则按全年计息。
式中qj——建设期第j年应计利息;
Pj-1——建设期第(j——1)年末累计贷款本金与利息之和;
Aj——建设期第j年贷款金额;
i ——年利率。
国外贷款利息的计算,年利率应综合考虑:
①银行按照贷款协议向贷款方加收的手续费、管理费、承诺费;
②国内代理机构向贷款方收取的转贷费、担保费、管理费等。
以上是考试100小编整理的2020年一级造价工程师《工程计价》考前辅导:建设期利息。考试100还给大家整理了一级造价工程师模拟试题、历年试题、考试考点等考试资料,更多备考资料持续更新中。
温馨提示:因考试政策、内容不断变化与调整,考试100网站提供的以上信息仅供参考,如有异议,请考生以权威部门公布的内容为准!